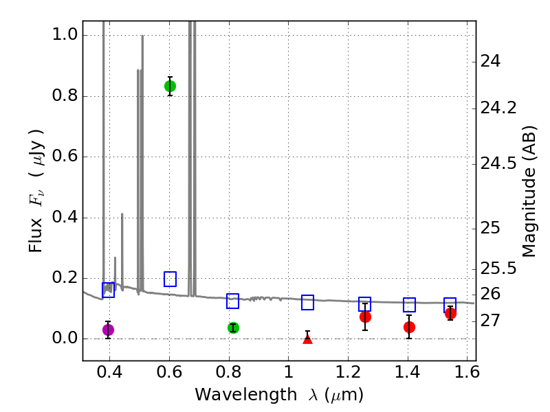
RXS0603+42-N IR detection object #6106

Color images and BPZ results
Catalog: 6106.cat
Black segments are analyzed here.   Roll mouse over color images to view segments.
Best viewed in a wide browser window (1200 pixels or more).   Download SED & P(z) plots to view larger versions.
In P(z) plots: Yellow lines mark the cluster redshift z = 0.228,  

Object #6106   x,y = (3498, 1446)   RA, Dec = (06:03:08.760, 42:14:44.52) = (90.78650, 42.24570)   BPZ = 0.017 [0.010--0.039]   type = 11.00 (SB11_A_0_l)   stellarity = 0.00   chisq2 = 107.10   ODDS = 1.00   z_cluster = 0.228