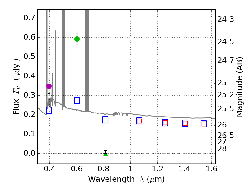
RXS0603+42-N IR detection object #6082

Color images and BPZ results
Catalog: 6082.cat
Black segments are analyzed here.   Roll mouse over color images to view segments.
Best viewed in a wide browser window (1200 pixels or more).   Download SED & P(z) plots to view larger versions.
In P(z) plots: Yellow lines mark the cluster redshift z = 0.228,  

Object #6082   x,y = (3546, 1203)   RA, Dec = (06:03:08.496, 42:14:29.76) = (90.78540, 42.24160)   BPZ = 0.017 [0.010--0.036]   type = 11.00 (SB11_A_0_l)   stellarity = 0.01   chisq2 = 138.20   ODDS = 1.00   z_cluster = 0.228