RXS0603+42-N IR detection object #6070

Color images and BPZ results
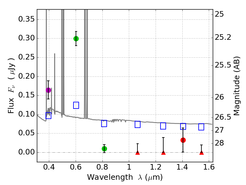
Catalog: 6070.cat
Black segments are analyzed here.   Roll mouse over color images to view segments.
Best viewed in a wide browser window (1200 pixels or more).   Download SED & P(z) plots to view larger versions.
In P(z) plots: Yellow lines mark the cluster redshift z = 0.228,  

Object #6070   x,y = (3543, 1306)   RA, Dec = (06:03:08.520, 42:14:35.88) = (90.78550, 42.24330)   BPZ = 0.019 [0.010--0.045]   type = 11.00 (SB11_A_0_l)   stellarity = 0.08   chisq2 = 32.26   ODDS = 1.00   z_cluster = 0.228