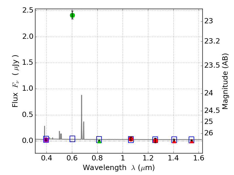
RXS0603+42-N IR detection object #6059

Color images and BPZ results
Catalog: 6059.cat
Black segments are analyzed here.   Roll mouse over color images to view segments.
Best viewed in a wide browser window (1200 pixels or more).   Download SED & P(z) plots to view larger versions.
In P(z) plots: Yellow lines mark the cluster redshift z = 0.228,  

Object #6059   x,y = (4073, 1514)   RA, Dec = (06:03:05.640, 42:14:48.48) = (90.77350, 42.24680)   BPZ = 0.028 [0.014--2.782]   type = 11.00 (SB11_A_0_l)   stellarity = 0.65   chisq2 = 261.50   ODDS = 0.33   z_cluster = 0.228