RXS0603+42-N IR detection object #6042

Color images and BPZ results
Catalog: 6042.cat
Black segments are analyzed here.   Roll mouse over color images to view segments.
Best viewed in a wide browser window (1200 pixels or more).   Download SED & P(z) plots to view larger versions.
In P(z) plots: Yellow lines mark the cluster redshift z = 0.228,  

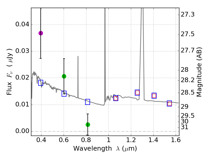
Object #6042   x,y = (1507, 1521)   RA, Dec = (06:03:19.512, 42:14:48.84) = (90.83130, 42.24690)   BPZ = 1.597 [0.599--2.874]   type = 11.00 (SB11_A_0_l)   stellarity = 0.36   chisq2 = 8.88   ODDS = 0.18   z_cluster = 0.228