RXS0603+42-N IR detection object #6038

Color images and BPZ results
Catalog: 6038.cat
Black segments are analyzed here.   Roll mouse over color images to view segments.
Best viewed in a wide browser window (1200 pixels or more).   Download SED & P(z) plots to view larger versions.
In P(z) plots: Yellow lines mark the cluster redshift z = 0.228,  

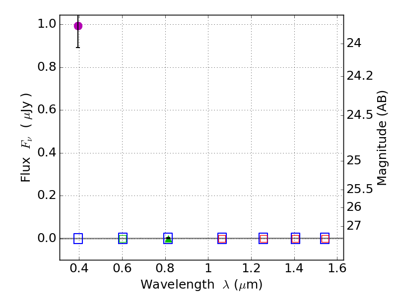
Object #6038   x,y = (4323, 1521)   RA, Dec = (06:03:04.296, 42:14:48.84) = (90.76790, 42.24690)   BPZ = 0.371 [0.049--0.865]   type = 7.00 (Scd_B10)   stellarity = 1.00   chisq2 = 94.94   ODDS = 0.19   z_cluster = 0.228