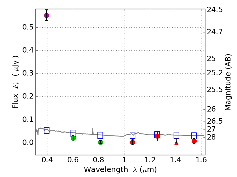
RXS0603+42-N IR detection object #6006

Color images and BPZ results
Catalog: 6006.cat
Black segments are analyzed here.   Roll mouse over color images to view segments.
Best viewed in a wide browser window (1200 pixels or more).   Download SED & P(z) plots to view larger versions.
In P(z) plots: Yellow lines mark the cluster redshift z = 0.228,  

Object #6006   x,y = (2205, 1548)   RA, Dec = (06:03:15.744, 42:14:50.64) = (90.81560, 42.24740)   BPZ = 1.700 [1.535--2.005]   type = 11.00 (SB11_A_0_l)   stellarity = 0.98   chisq2 = 122.40   ODDS = 0.67   z_cluster = 0.228