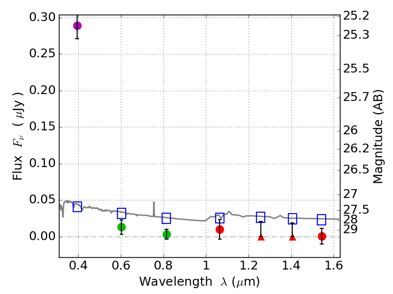
RXS0603+42-N IR detection object #5876

Color images and BPZ results
Catalog: 5876.cat
Black segments are analyzed here.   Roll mouse over color images to view segments.
Best viewed in a wide browser window (1200 pixels or more).   Download SED & P(z) plots to view larger versions.
In P(z) plots: Yellow lines mark the cluster redshift z = 0.228,  

Object #5876   x,y = (2637, 1589)   RA, Dec = (06:03:13.416, 42:14:53.16) = (90.80590, 42.24810)   BPZ = 1.701 [1.368--2.136]   type = 11.00 (SB11_A_0_l)   stellarity = 0.87   chisq2 = 48.40   ODDS = 0.57   z_cluster = 0.228