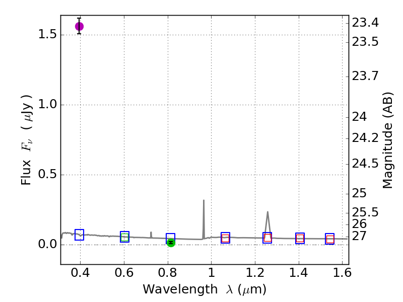
RXS0603+42-N IR detection object #5872

Color images and BPZ results
Catalog: 5872.cat
Black segments are analyzed here.   Roll mouse over color images to view segments.
Best viewed in a wide browser window (1200 pixels or more).   Download SED & P(z) plots to view larger versions.
In P(z) plots: Yellow lines mark the cluster redshift z = 0.228,  

Object #5872   x,y = (4319, 1635)   RA, Dec = (06:03:04.320, 42:14:55.68) = (90.76800, 42.24880)   BPZ = 1.594 [1.346--2.022]   type = 11.00 (SB11_A_0_l)   stellarity = 0.99   chisq2 = 689.10   ODDS = 0.47   z_cluster = 0.228