RXS0603+42-N IR detection object #5813

Color images and BPZ results
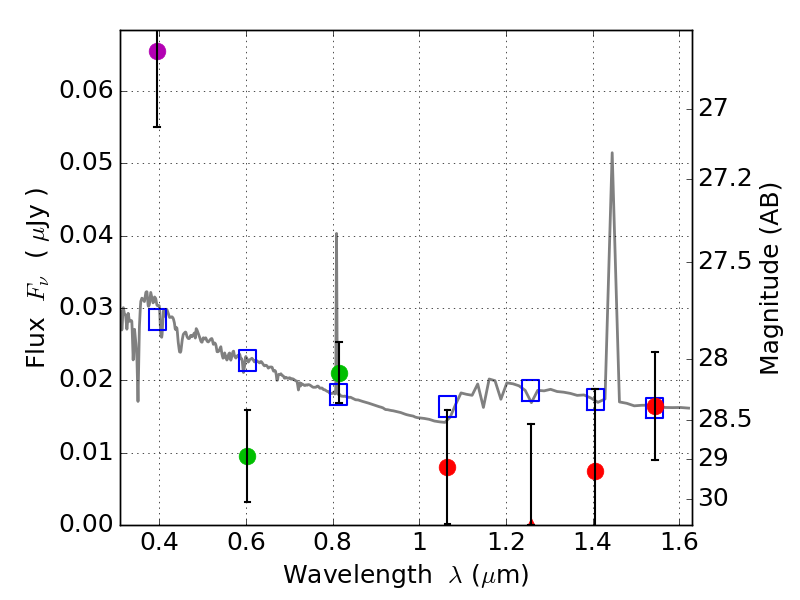
Catalog: 5813.cat
Black segments are analyzed here.   Roll mouse over color images to view segments.
Best viewed in a wide browser window (1200 pixels or more).   Download SED & P(z) plots to view larger versions.
In P(z) plots: Yellow lines mark the cluster redshift z = 0.228,  

Object #5813   x,y = (2123, 1617)   RA, Dec = (06:03:16.200, 42:14:54.60) = (90.81750, 42.24850)   BPZ = 1.894 [0.399--2.522]   type = 11.00 (SB11_A_0_l)   stellarity = 0.41   chisq2 = 5.03   ODDS = 0.20   z_cluster = 0.228