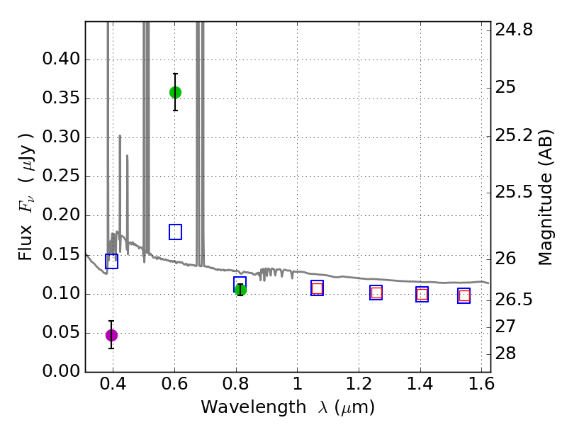
RXS0603+42-N IR detection object #58

Color images and BPZ results
Catalog: 58.cat
Black segments are analyzed here.   Roll mouse over color images to view segments.
Best viewed in a wide browser window (1200 pixels or more).   Download SED & P(z) plots to view larger versions.
In P(z) plots: Yellow lines mark the cluster redshift z = 0.228,  

Object #58   x,y = (2383, 3798)   RA, Dec = (06:03:14.784, 42:17:05.64) = (90.81160, 42.28490)   BPZ = 0.030 [0.016--3.187]   type = 11.00 (SB11_A_0_l)   stellarity = 0.70   chisq2 = 65.60   ODDS = 0.22   z_cluster = 0.228