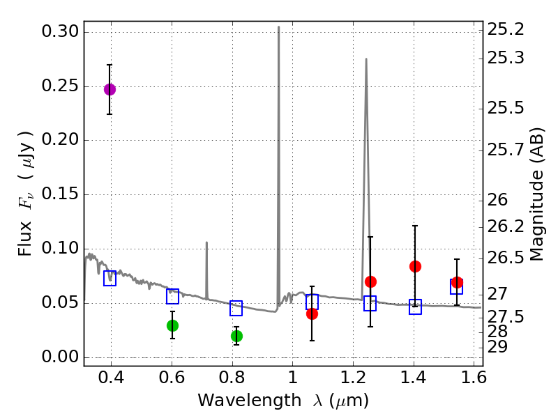
RXS0603+42-N IR detection object #5799

Color images and BPZ results
Catalog: 5799.cat
Black segments are analyzed here.   Roll mouse over color images to view segments.
Best viewed in a wide browser window (1200 pixels or more).   Download SED & P(z) plots to view larger versions.
In P(z) plots: Yellow lines mark the cluster redshift z = 0.228,  

Object #5799   x,y = (1731, 1708)   RA, Dec = (06:03:18.312, 42:15:00.00) = (90.82630, 42.25000)   BPZ = 1.563 [1.220--2.100]   type = 11.00 (SB11_A_0_l)   stellarity = 0.10   chisq2 = 16.91   ODDS = 0.34   z_cluster = 0.228