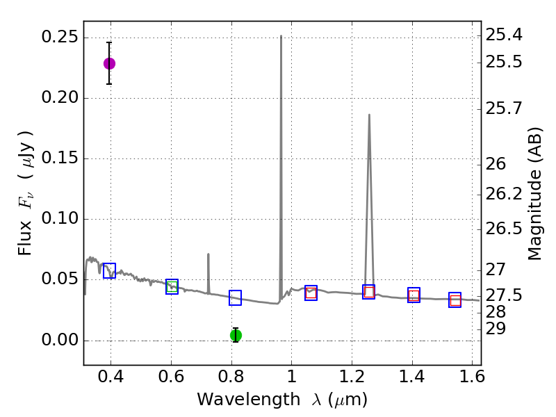
RXS0603+42-N IR detection object #5788

Color images and BPZ results
Catalog: 5788.cat
Black segments are analyzed here.   Roll mouse over color images to view segments.
Best viewed in a wide browser window (1200 pixels or more).   Download SED & P(z) plots to view larger versions.
In P(z) plots: Yellow lines mark the cluster redshift z = 0.228,  

Object #5788   x,y = (4209, 1623)   RA, Dec = (06:03:04.920, 42:14:54.96) = (90.77050, 42.24860)   BPZ = 1.594 [1.355--2.013]   type = 11.00 (SB11_A_0_l)   stellarity = 0.70   chisq2 = 115.60   ODDS = 0.47   z_cluster = 0.228