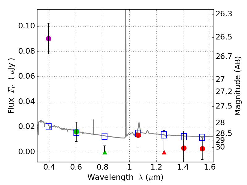
RXS0603+42-N IR detection object #5780

Color images and BPZ results
Catalog: 5780.cat
Black segments are analyzed here.   Roll mouse over color images to view segments.
Best viewed in a wide browser window (1200 pixels or more).   Download SED & P(z) plots to view larger versions.
In P(z) plots: Yellow lines mark the cluster redshift z = 0.228,  

Object #5780   x,y = (3192, 1626)   RA, Dec = (06:03:10.416, 42:14:55.32) = (90.79340, 42.24870)   BPZ = 1.612 [0.644--2.531]   type = 11.00 (SB11_A_0_l)   stellarity = 0.47   chisq2 = 10.05   ODDS = 0.26   z_cluster = 0.228