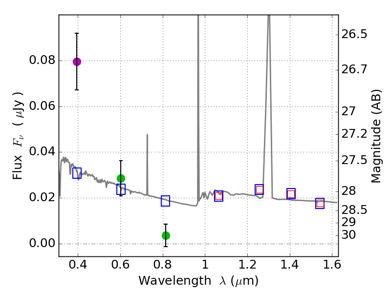
RXS0603+42-N IR detection object #575

Color images and BPZ results
Catalog: 575.cat
Black segments are analyzed here.   Roll mouse over color images to view segments.
Best viewed in a wide browser window (1200 pixels or more).   Download SED & P(z) plots to view larger versions.
In P(z) plots: Yellow lines mark the cluster redshift z = 0.228,  

Object #575   x,y = (2461, 3525)   RA, Dec = (06:03:14.352, 42:16:49.08) = (90.80980, 42.28030)   BPZ = 1.596 [1.183--2.355]   type = 11.00 (SB11_A_0_l)   stellarity = 0.45   chisq2 = 23.66   ODDS = 0.28   z_cluster = 0.228