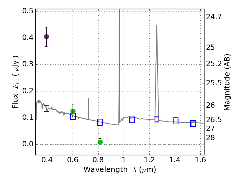
RXS0603+42-N IR detection object #5736

Color images and BPZ results
Catalog: 5736.cat
Black segments are analyzed here.   Roll mouse over color images to view segments.
Best viewed in a wide browser window (1200 pixels or more).   Download SED & P(z) plots to view larger versions.
In P(z) plots: Yellow lines mark the cluster redshift z = 0.228,  

Object #5736   x,y = (4132, 1637)   RA, Dec = (06:03:05.328, 42:14:56.04) = (90.77220, 42.24890)   BPZ = 1.594 [1.358--2.041]   type = 11.00 (SB11_A_0_l)   stellarity = 0.00   chisq2 = 73.30   ODDS = 0.45   z_cluster = 0.228