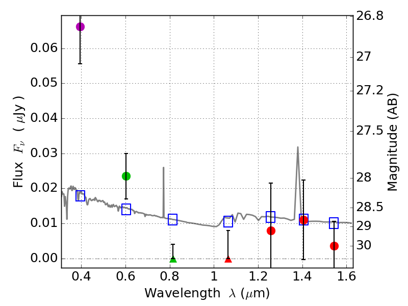
RXS0603+42-N IR detection object #5726

Color images and BPZ results
Catalog: 5726.cat
Black segments are analyzed here.   Roll mouse over color images to view segments.
Best viewed in a wide browser window (1200 pixels or more).   Download SED & P(z) plots to view larger versions.
In P(z) plots: Yellow lines mark the cluster redshift z = 0.228,  

Object #5726   x,y = (2297, 1708)   RA, Dec = (06:03:15.240, 42:15:00.36) = (90.81350, 42.25010)   BPZ = 1.761 [0.758--2.615]   type = 11.00 (SB11_A_0_l)   stellarity = 0.35   chisq2 = 8.03   ODDS = 0.29   z_cluster = 0.228