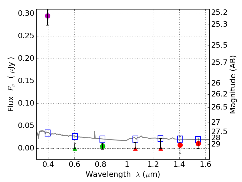
RXS0603+42-N IR detection object #5725

Color images and BPZ results
Catalog: 5725.cat
Black segments are analyzed here.   Roll mouse over color images to view segments.
Best viewed in a wide browser window (1200 pixels or more).   Download SED & P(z) plots to view larger versions.
In P(z) plots: Yellow lines mark the cluster redshift z = 0.228,  

Object #5725   x,y = (3043, 1642)   RA, Dec = (06:03:11.208, 42:14:56.04) = (90.79670, 42.24890)   BPZ = 1.699 [1.064--2.289]   type = 11.00 (SB11_A_0_l)   stellarity = 0.61   chisq2 = 42.08   ODDS = 0.37   z_cluster = 0.228