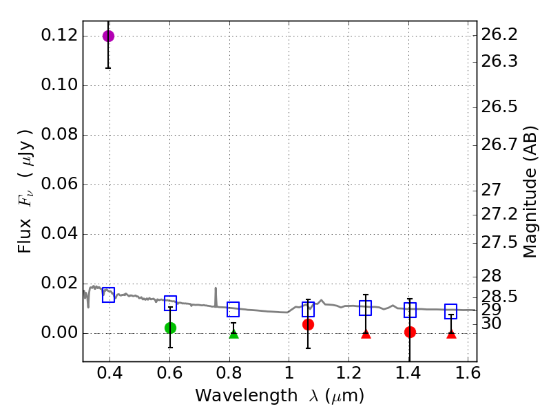
RXS0603+42-N IR detection object #5688

Color images and BPZ results
Catalog: 5688.cat
Black segments are analyzed here.   Roll mouse over color images to view segments.
Best viewed in a wide browser window (1200 pixels or more).   Download SED & P(z) plots to view larger versions.
In P(z) plots: Yellow lines mark the cluster redshift z = 0.228,  

Object #5688   x,y = (3593, 1659)   RA, Dec = (06:03:08.232, 42:14:57.12) = (90.78430, 42.24920)   BPZ = 1.701 [0.507--4.778]   type = 11.00 (SB11_A_0_l)   stellarity = 0.49   chisq2 = 18.04   ODDS = 0.23   z_cluster = 0.228