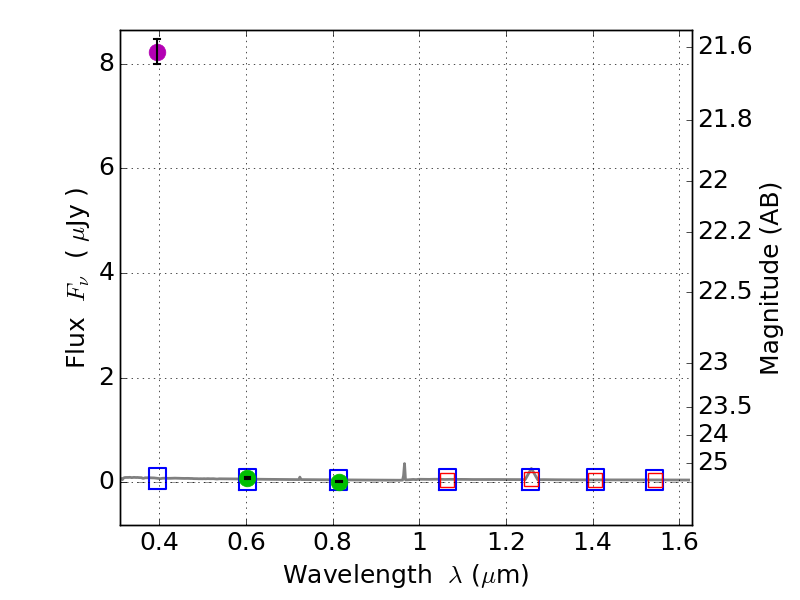
RXS0603+42-N IR detection object #5677

Color images and BPZ results
Catalog: 5677.cat
Black segments are analyzed here.   Roll mouse over color images to view segments.
Best viewed in a wide browser window (1200 pixels or more).   Download SED & P(z) plots to view larger versions.
In P(z) plots: Yellow lines mark the cluster redshift z = 0.228,  

Object #5677   x,y = (1246, 1662)   RA, Dec = (06:03:20.928, 42:14:57.48) = (90.83720, 42.24930)   BPZ = 1.595 [1.272--2.346]   type = 11.00 (SB11_A_0_l)   stellarity = 0.96   chisq2 = 1140.00   ODDS = 0.31   z_cluster = 0.228