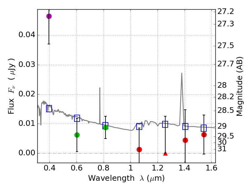
RXS0603+42-N IR detection object #5674

Color images and BPZ results
Catalog: 5674.cat
Black segments are analyzed here.   Roll mouse over color images to view segments.
Best viewed in a wide browser window (1200 pixels or more).   Download SED & P(z) plots to view larger versions.
In P(z) plots: Yellow lines mark the cluster redshift z = 0.228,  

Object #5674   x,y = (2470, 1664)   RA, Dec = (06:03:14.304, 42:14:57.48) = (90.80960, 42.24930)   BPZ = 1.763 [0.300--2.993]   type = 11.00 (SB11_A_0_l)   stellarity = 0.43   chisq2 = 3.45   ODDS = 0.15   z_cluster = 0.228