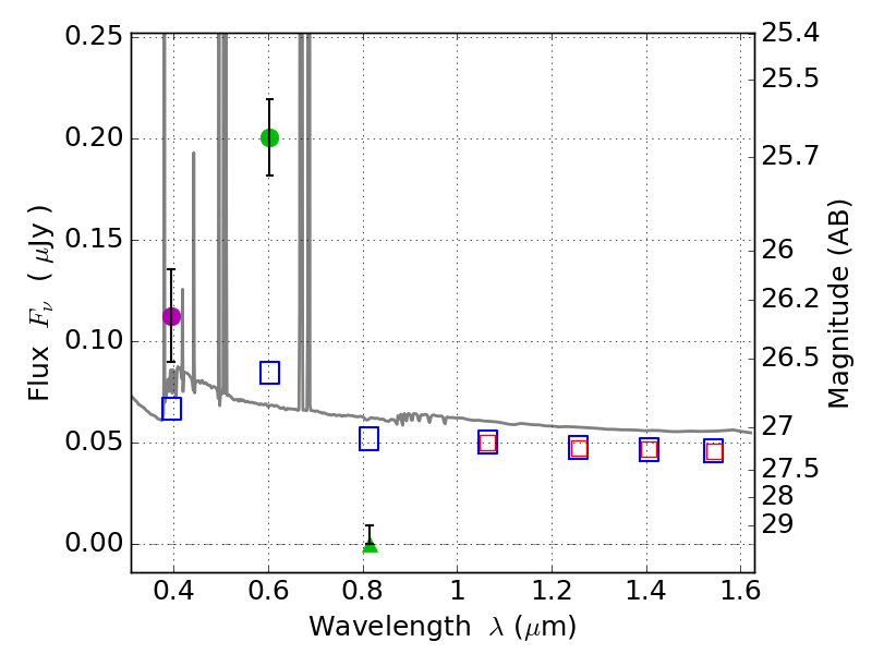
RXS0603+42-N IR detection object #5666

Color images and BPZ results
Catalog: 5666.cat
Black segments are analyzed here.   Roll mouse over color images to view segments.
Best viewed in a wide browser window (1200 pixels or more).   Download SED & P(z) plots to view larger versions.
In P(z) plots: Yellow lines mark the cluster redshift z = 0.228,  

Object #5666   x,y = (4147, 1652)   RA, Dec = (06:03:05.256, 42:14:56.76) = (90.77190, 42.24910)   BPZ = 0.022 [0.012--2.276]   type = 11.00 (SB11_A_0_l)   stellarity = 0.46   chisq2 = 61.98   ODDS = 0.33   z_cluster = 0.228