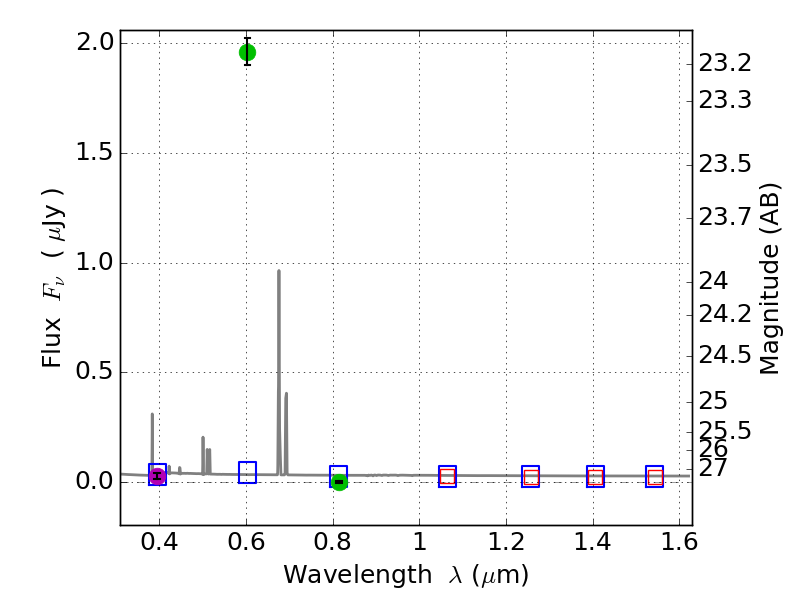
RXS0603+42-N IR detection object #564

Color images and BPZ results
Catalog: 564.cat
Black segments are analyzed here.   Roll mouse over color images to view segments.
Best viewed in a wide browser window (1200 pixels or more).   Download SED & P(z) plots to view larger versions.
In P(z) plots: Yellow lines mark the cluster redshift z = 0.228,  

Object #564   x,y = (2953, 3531)   RA, Dec = (06:03:11.712, 42:16:49.44) = (90.79880, 42.28040)   BPZ = 0.026 [0.027--3.032]   type = 11.00 (SB11_A_0_l)   stellarity = 0.97   chisq2 = 1000.00   ODDS = 0.05   z_cluster = 0.228