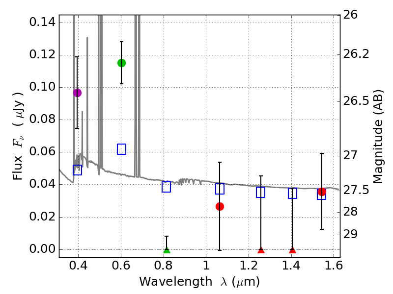
RXS0603+42-N IR detection object #5501

Color images and BPZ results
Catalog: 5501.cat
Black segments are analyzed here.   Roll mouse over color images to view segments.
Best viewed in a wide browser window (1200 pixels or more).   Download SED & P(z) plots to view larger versions.
In P(z) plots: Yellow lines mark the cluster redshift z = 0.228,  

Object #5501   x,y = (4087, 1637)   RA, Dec = (06:03:05.568, 42:14:56.04) = (90.77320, 42.24890)   BPZ = 0.024 [0.015--2.550]   type = 11.00 (SB11_A_0_l)   stellarity = 0.08   chisq2 = 9.88   ODDS = 0.19   z_cluster = 0.228