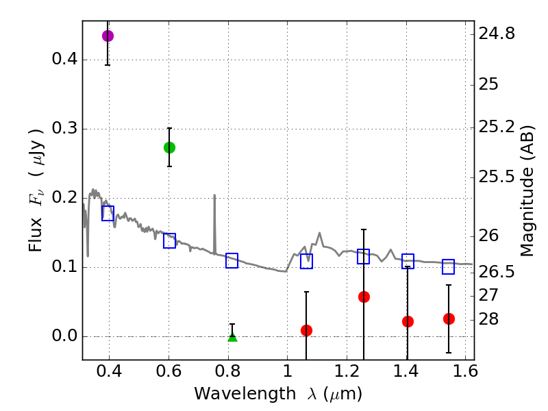
RXS0603+42-N IR detection object #5485

Color images and BPZ results
Catalog: 5485.cat
Black segments are analyzed here.   Roll mouse over color images to view segments.
Best viewed in a wide browser window (1200 pixels or more).   Download SED & P(z) plots to view larger versions.
In P(z) plots: Yellow lines mark the cluster redshift z = 0.228,  

Object #5485   x,y = (4077, 1706)   RA, Dec = (06:03:05.616, 42:15:00.00) = (90.77340, 42.25000)   BPZ = 1.699 [0.034--2.081]   type = 11.00 (SB11_A_0_l)   stellarity = 0.00   chisq2 = 21.60   ODDS = 0.59   z_cluster = 0.228