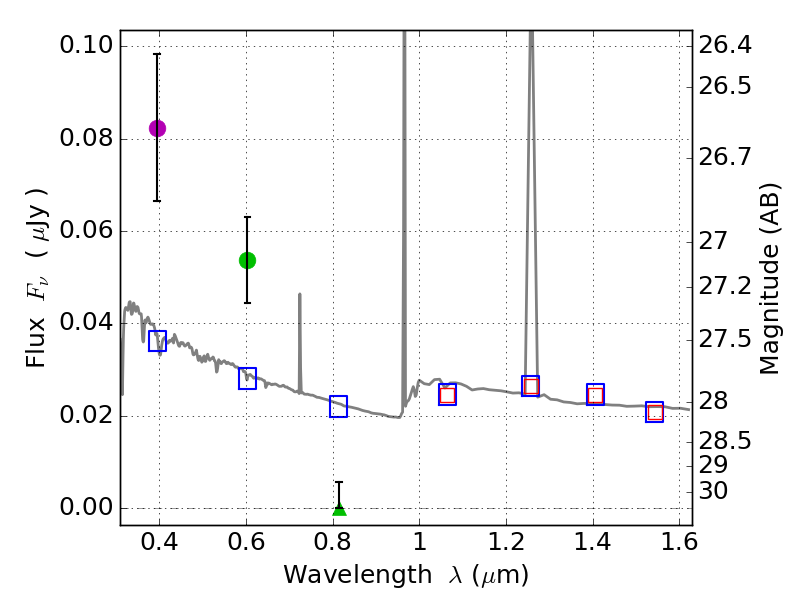
RXS0603+42-N IR detection object #5482

Color images and BPZ results
Catalog: 5482.cat
Black segments are analyzed here.   Roll mouse over color images to view segments.
Best viewed in a wide browser window (1200 pixels or more).   Download SED & P(z) plots to view larger versions.
In P(z) plots: Yellow lines mark the cluster redshift z = 0.228,  

Object #5482   x,y = (1653, 1742)   RA, Dec = (06:03:18.720, 42:15:02.16) = (90.82800, 42.25060)   BPZ = 1.595 [1.206--2.450]   type = 11.00 (SB11_A_0_l)   stellarity = 0.48   chisq2 = 28.05   ODDS = 0.28   z_cluster = 0.228