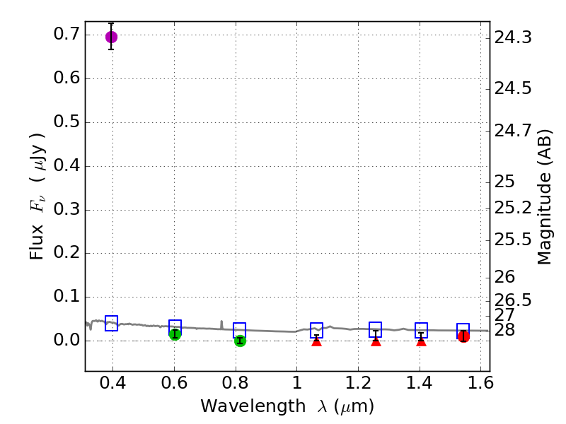
RXS0603+42-N IR detection object #5444

Color images and BPZ results
Catalog: 5444.cat
Black segments are analyzed here.   Roll mouse over color images to view segments.
Best viewed in a wide browser window (1200 pixels or more).   Download SED & P(z) plots to view larger versions.
In P(z) plots: Yellow lines mark the cluster redshift z = 0.228,  

Object #5444   x,y = (3865, 1720)   RA, Dec = (06:03:06.768, 42:15:00.72) = (90.77820, 42.25020)   BPZ = 1.700 [1.411--2.169]   type = 11.00 (SB11_A_0_l)   stellarity = 0.71   chisq2 = 130.30   ODDS = 0.51   z_cluster = 0.228