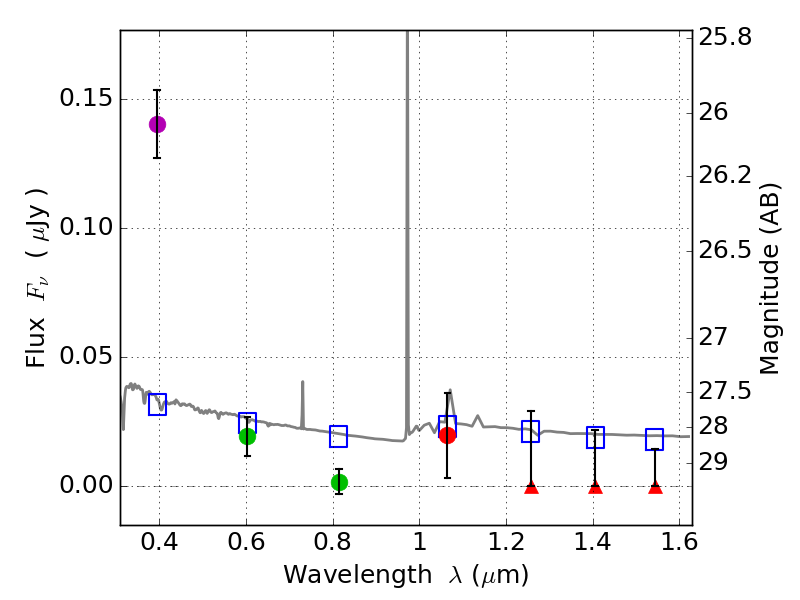
RXS0603+42-N IR detection object #5431

Color images and BPZ results
Catalog: 5431.cat
Black segments are analyzed here.   Roll mouse over color images to view segments.
Best viewed in a wide browser window (1200 pixels or more).   Download SED & P(z) plots to view larger versions.
In P(z) plots: Yellow lines mark the cluster redshift z = 0.228,  

Object #5431   x,y = (1692, 1745)   RA, Dec = (06:03:18.504, 42:15:02.52) = (90.82710, 42.25070)   BPZ = 1.612 [1.285--2.185]   type = 11.00 (SB11_A_0_l)   stellarity = 0.55   chisq2 = 20.37   ODDS = 0.41   z_cluster = 0.228