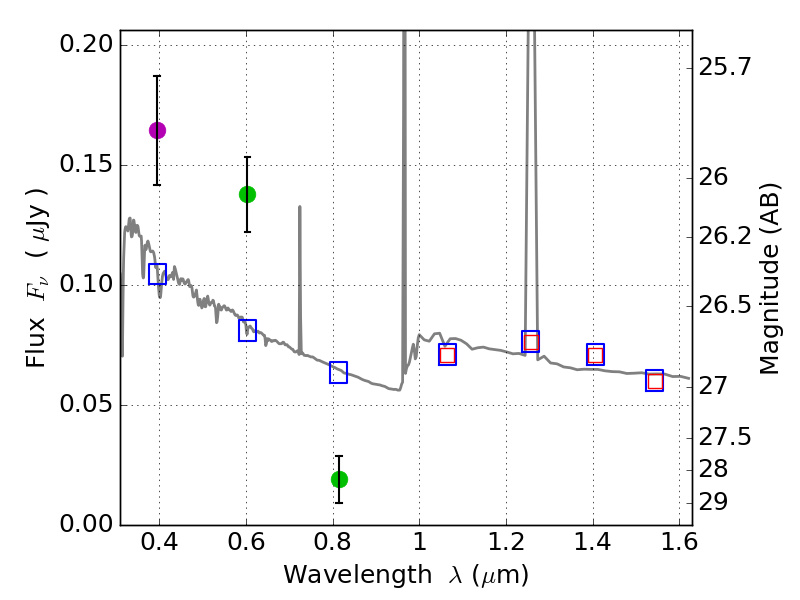
RXS0603+42-N IR detection object #5379

Color images and BPZ results
Catalog: 5379.cat
Black segments are analyzed here.   Roll mouse over color images to view segments.
Best viewed in a wide browser window (1200 pixels or more).   Download SED & P(z) plots to view larger versions.
In P(z) plots: Yellow lines mark the cluster redshift z = 0.228,  

Object #5379   x,y = (4122, 1695)   RA, Dec = (06:03:05.376, 42:14:59.28) = (90.77240, 42.24980)   BPZ = 1.595 [1.355--2.175]   type = 11.00 (SB11_A_0_l)   stellarity = 0.00   chisq2 = 31.28   ODDS = 0.38   z_cluster = 0.228