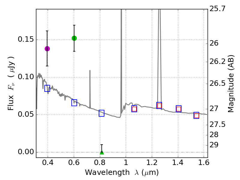
RXS0603+42-N IR detection object #5374

Color images and BPZ results
Catalog: 5374.cat
Black segments are analyzed here.   Roll mouse over color images to view segments.
Best viewed in a wide browser window (1200 pixels or more).   Download SED & P(z) plots to view larger versions.
In P(z) plots: Yellow lines mark the cluster redshift z = 0.228,  

Object #5374   x,y = (4115, 1707)   RA, Dec = (06:03:05.424, 42:15:00.00) = (90.77260, 42.25000)   BPZ = 1.595 [0.026--2.254]   type = 11.00 (SB11_A_0_l)   stellarity = 0.13   chisq2 = 46.95   ODDS = 0.34   z_cluster = 0.228