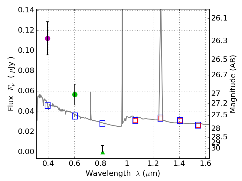
RXS0603+42-N IR detection object #5371

Color images and BPZ results
Catalog: 5371.cat
Black segments are analyzed here.   Roll mouse over color images to view segments.
Best viewed in a wide browser window (1200 pixels or more).   Download SED & P(z) plots to view larger versions.
In P(z) plots: Yellow lines mark the cluster redshift z = 0.228,  

Object #5371   x,y = (4135, 1656)   RA, Dec = (06:03:05.304, 42:14:57.12) = (90.77210, 42.24920)   BPZ = 1.595 [1.279--2.262]   type = 11.00 (SB11_A_0_l)   stellarity = 0.65   chisq2 = 34.70   ODDS = 0.33   z_cluster = 0.228