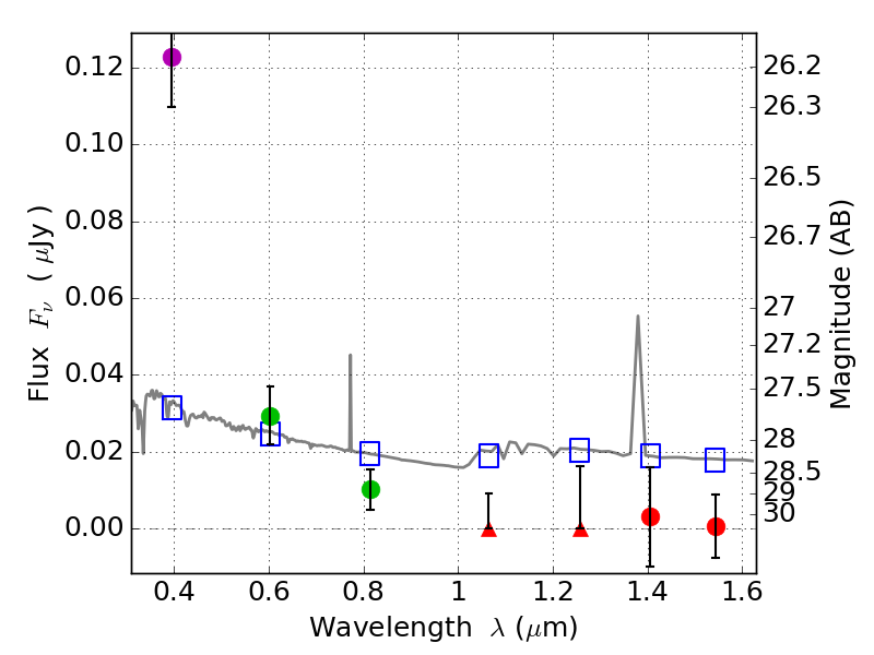
RXS0603+42-N IR detection object #5328

Color images and BPZ results
Catalog: 5328.cat
Black segments are analyzed here.   Roll mouse over color images to view segments.
Best viewed in a wide browser window (1200 pixels or more).   Download SED & P(z) plots to view larger versions.
In P(z) plots: Yellow lines mark the cluster redshift z = 0.228,  

Object #5328   x,y = (2894, 1766)   RA, Dec = (06:03:12.024, 42:15:03.60) = (90.80010, 42.25100)   BPZ = 1.763 [1.291--2.400]   type = 11.00 (SB11_A_0_l)   stellarity = 0.47   chisq2 = 15.27   ODDS = 0.41   z_cluster = 0.228