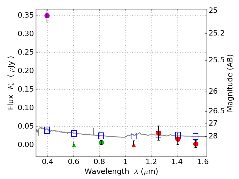
RXS0603+42-N IR detection object #5299

Color images and BPZ results
Catalog: 5299.cat
Black segments are analyzed here.   Roll mouse over color images to view segments.
Best viewed in a wide browser window (1200 pixels or more).   Download SED & P(z) plots to view larger versions.
In P(z) plots: Yellow lines mark the cluster redshift z = 0.228,  

Object #5299   x,y = (2538, 1774)   RA, Dec = (06:03:13.944, 42:15:03.96) = (90.80810, 42.25110)   BPZ = 1.697 [1.429--2.052]   type = 11.00 (SB11_A_0_l)   stellarity = 0.74   chisq2 = 81.90   ODDS = 0.63   z_cluster = 0.228