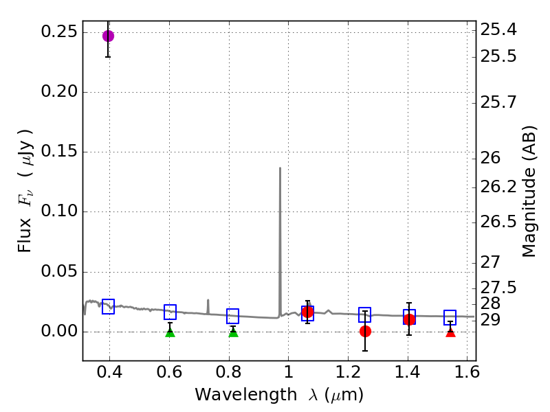
RXS0603+42-N IR detection object #5292

Color images and BPZ results
Catalog: 5292.cat
Black segments are analyzed here.   Roll mouse over color images to view segments.
Best viewed in a wide browser window (1200 pixels or more).   Download SED & P(z) plots to view larger versions.
In P(z) plots: Yellow lines mark the cluster redshift z = 0.228,  

Object #5292   x,y = (3676, 1775)   RA, Dec = (06:03:07.800, 42:15:04.32) = (90.78250, 42.25120)   BPZ = 1.612 [0.746--2.366]   type = 11.00 (SB11_A_0_l)   stellarity = 0.70   chisq2 = 41.41   ODDS = 0.31   z_cluster = 0.228