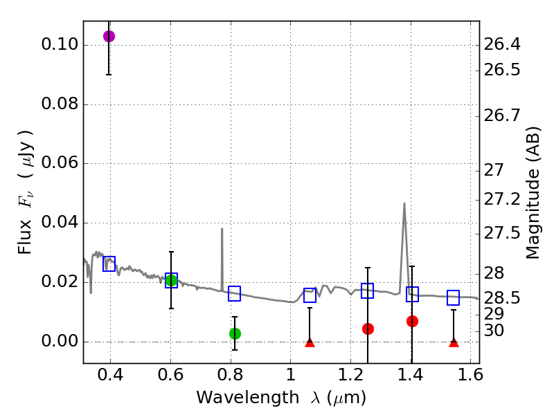
RXS0603+42-N IR detection object #5284

Color images and BPZ results
Catalog: 5284.cat
Black segments are analyzed here.   Roll mouse over color images to view segments.
Best viewed in a wide browser window (1200 pixels or more).   Download SED & P(z) plots to view larger versions.
In P(z) plots: Yellow lines mark the cluster redshift z = 0.228,  

Object #5284   x,y = (3162, 1778)   RA, Dec = (06:03:10.584, 42:15:04.32) = (90.79410, 42.25120)   BPZ = 1.762 [0.959--2.459]   type = 11.00 (SB11_A_0_l)   stellarity = 0.35   chisq2 = 10.84   ODDS = 0.34   z_cluster = 0.228