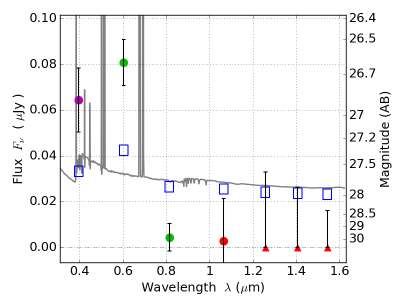
RXS0603+42-N IR detection object #5278

Color images and BPZ results
Catalog: 5278.cat
Black segments are analyzed here.   Roll mouse over color images to view segments.
Best viewed in a wide browser window (1200 pixels or more).   Download SED & P(z) plots to view larger versions.
In P(z) plots: Yellow lines mark the cluster redshift z = 0.228,  

Object #5278   x,y = (4075, 1756)   RA, Dec = (06:03:05.640, 42:15:03.24) = (90.77350, 42.25090)   BPZ = 0.026 [0.022--2.672]   type = 11.00 (SB11_A_0_l)   stellarity = 0.17   chisq2 = 8.53   ODDS = 0.09   z_cluster = 0.228