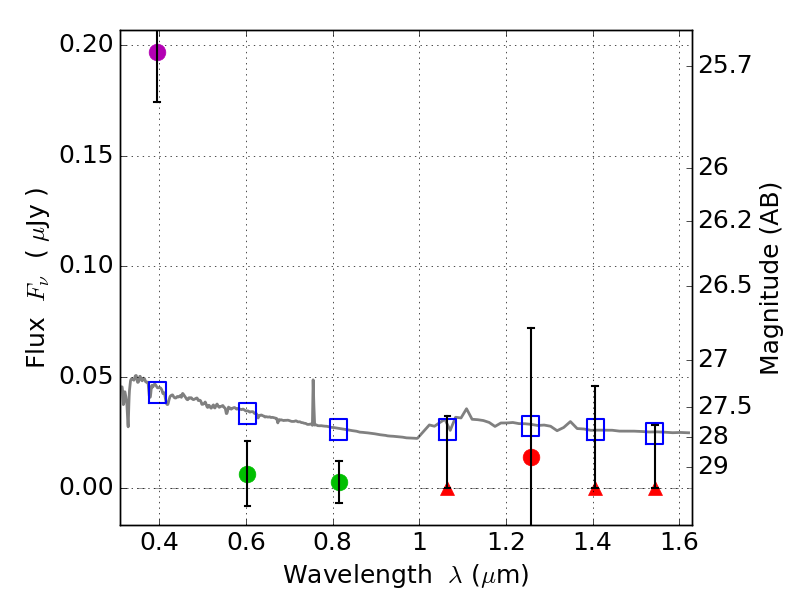
RXS0603+42-N IR detection object #5253

Color images and BPZ results
Catalog: 5253.cat
Black segments are analyzed here.   Roll mouse over color images to view segments.
Best viewed in a wide browser window (1200 pixels or more).   Download SED & P(z) plots to view larger versions.
In P(z) plots: Yellow lines mark the cluster redshift z = 0.228,  

Object #5253   x,y = (4061, 1726)   RA, Dec = (06:03:05.712, 42:15:01.08) = (90.77380, 42.25030)   BPZ = 1.699 [0.887--2.403]   type = 11.00 (SB11_A_0_l)   stellarity = 0.05   chisq2 = 14.08   ODDS = 0.31   z_cluster = 0.228