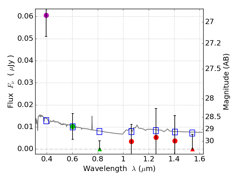
RXS0603+42-N IR detection object #5227

Color images and BPZ results
Catalog: 5227.cat
Black segments are analyzed here.   Roll mouse over color images to view segments.
Best viewed in a wide browser window (1200 pixels or more).   Download SED & P(z) plots to view larger versions.
In P(z) plots: Yellow lines mark the cluster redshift z = 0.228,  

Object #5227   x,y = (3370, 1791)   RA, Dec = (06:03:09.456, 42:15:05.04) = (90.78940, 42.25140)   BPZ = 1.700 [0.420--3.283]   type = 11.00 (SB11_A_0_l)   stellarity = 0.33   chisq2 = 7.58   ODDS = 0.22   z_cluster = 0.228