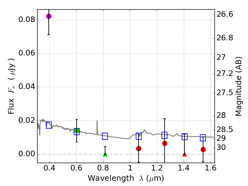
RXS0603+42-N IR detection object #5209

Color images and BPZ results
Catalog: 5209.cat
Black segments are analyzed here.   Roll mouse over color images to view segments.
Best viewed in a wide browser window (1200 pixels or more).   Download SED & P(z) plots to view larger versions.
In P(z) plots: Yellow lines mark the cluster redshift z = 0.228,  

Object #5209   x,y = (2639, 1796)   RA, Dec = (06:03:13.392, 42:15:05.40) = (90.80580, 42.25150)   BPZ = 1.700 [0.590--2.639]   type = 11.00 (SB11_A_0_l)   stellarity = 0.38   chisq2 = 10.34   ODDS = 0.28   z_cluster = 0.228