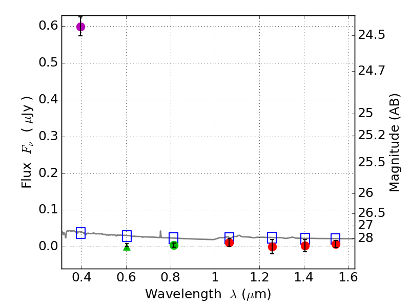
RXS0603+42-N IR detection object #5198

Color images and BPZ results
Catalog: 5198.cat
Black segments are analyzed here.   Roll mouse over color images to view segments.
Best viewed in a wide browser window (1200 pixels or more).   Download SED & P(z) plots to view larger versions.
In P(z) plots: Yellow lines mark the cluster redshift z = 0.228,  

Object #5198   x,y = (3694, 1804)   RA, Dec = (06:03:07.704, 42:15:05.76) = (90.78210, 42.25160)   BPZ = 1.701 [1.309--2.120]   type = 11.00 (SB11_A_0_l)   stellarity = 0.93   chisq2 = 123.10   ODDS = 0.55   z_cluster = 0.228