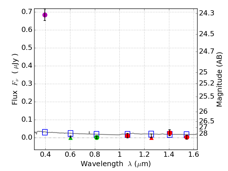
RXS0603+42-N IR detection object #5189

Color images and BPZ results
Catalog: 5189.cat
Black segments are analyzed here.   Roll mouse over color images to view segments.
Best viewed in a wide browser window (1200 pixels or more).   Download SED & P(z) plots to view larger versions.
In P(z) plots: Yellow lines mark the cluster redshift z = 0.228,  

Object #5189   x,y = (3613, 1806)   RA, Dec = (06:03:08.136, 42:15:06.12) = (90.78390, 42.25170)   BPZ = 1.698 [1.016--2.263]   type = 11.00 (SB11_A_0_l)   stellarity = 0.82   chisq2 = 108.10   ODDS = 0.42   z_cluster = 0.228