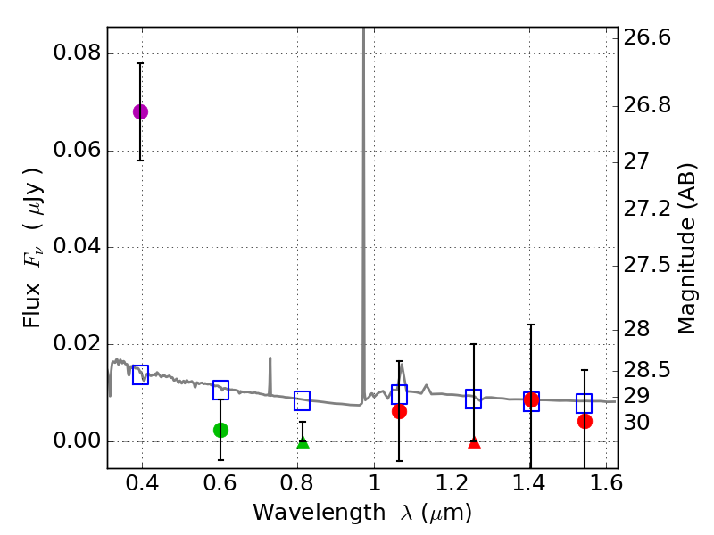
RXS0603+42-N IR detection object #5183

Color images and BPZ results
Catalog: 5183.cat
Black segments are analyzed here.   Roll mouse over color images to view segments.
Best viewed in a wide browser window (1200 pixels or more).   Download SED & P(z) plots to view larger versions.
In P(z) plots: Yellow lines mark the cluster redshift z = 0.228,  

Object #5183   x,y = (2490, 1812)   RA, Dec = (06:03:14.208, 42:15:06.48) = (90.80920, 42.25180)   BPZ = 1.610 [0.517--4.651]   type = 11.00 (SB11_A_0_l)   stellarity = 0.38   chisq2 = 8.72   ODDS = 0.17   z_cluster = 0.228