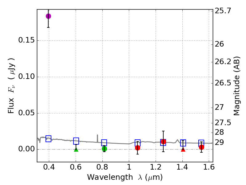
RXS0603+42-N IR detection object #5174

Color images and BPZ results
Catalog: 5174.cat
Black segments are analyzed here.   Roll mouse over color images to view segments.
Best viewed in a wide browser window (1200 pixels or more).   Download SED & P(z) plots to view larger versions.
In P(z) plots: Yellow lines mark the cluster redshift z = 0.228,  

Object #5174   x,y = (3397, 1880)   RA, Dec = (06:03:09.312, 42:15:10.44) = (90.78880, 42.25290)   BPZ = 1.731 [0.539--5.019]   type = 11.00 (SB11_A_0_l)   stellarity = 0.81   chisq2 = 29.55   ODDS = 0.21   z_cluster = 0.228