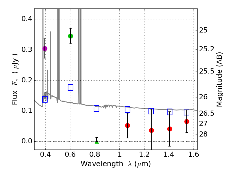
RXS0603+42-N IR detection object #5172

Color images and BPZ results
Catalog: 5172.cat
Black segments are analyzed here.   Roll mouse over color images to view segments.
Best viewed in a wide browser window (1200 pixels or more).   Download SED & P(z) plots to view larger versions.
In P(z) plots: Yellow lines mark the cluster redshift z = 0.228,  

Object #5172   x,y = (4070, 1835)   RA, Dec = (06:03:05.664, 42:15:07.92) = (90.77360, 42.25220)   BPZ = 0.019 [0.010--1.559]   type = 11.00 (SB11_A_0_l)   stellarity = 0.00   chisq2 = 26.07   ODDS = 0.97   z_cluster = 0.228