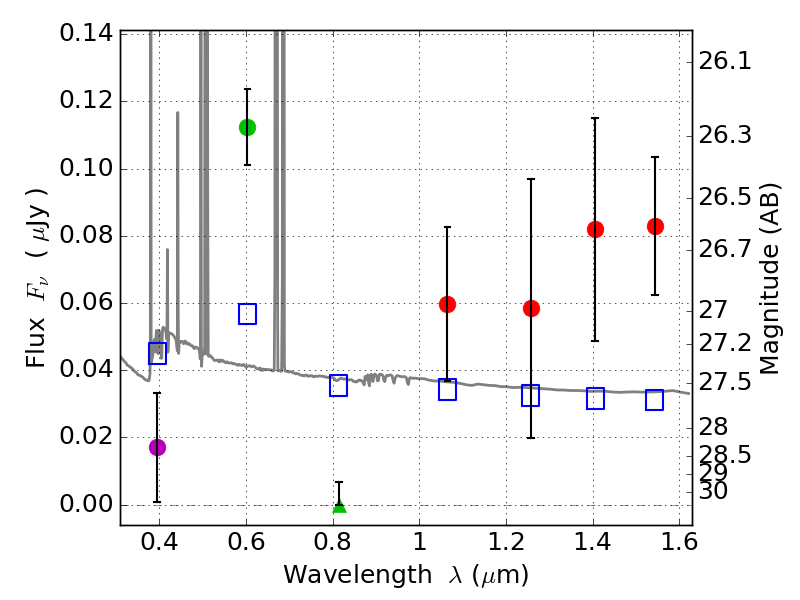
RXS0603+42-N IR detection object #5159

Color images and BPZ results
Catalog: 5159.cat
Black segments are analyzed here.   Roll mouse over color images to view segments.
Best viewed in a wide browser window (1200 pixels or more).   Download SED & P(z) plots to view larger versions.
In P(z) plots: Yellow lines mark the cluster redshift z = 0.228,  

Object #5159   x,y = (4034, 1864)   RA, Dec = (06:03:05.856, 42:15:09.36) = (90.77440, 42.25260)   BPZ = 0.024 [0.021--2.887]   type = 11.00 (SB11_A_0_l)   stellarity = 0.07   chisq2 = 13.89   ODDS = 0.08   z_cluster = 0.228