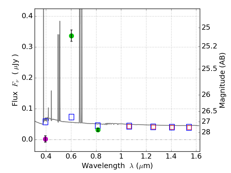
RXS0603+42-N IR detection object #5118

Color images and BPZ results
Catalog: 5118.cat
Black segments are analyzed here.   Roll mouse over color images to view segments.
Best viewed in a wide browser window (1200 pixels or more).   Download SED & P(z) plots to view larger versions.
In P(z) plots: Yellow lines mark the cluster redshift z = 0.228,  

Object #5118   x,y = (4263, 1828)   RA, Dec = (06:03:04.632, 42:15:07.20) = (90.76930, 42.25200)   BPZ = 0.023 [0.012--3.356]   type = 11.00 (SB11_A_0_l)   stellarity = 0.68   chisq2 = 229.70   ODDS = 0.42   z_cluster = 0.228