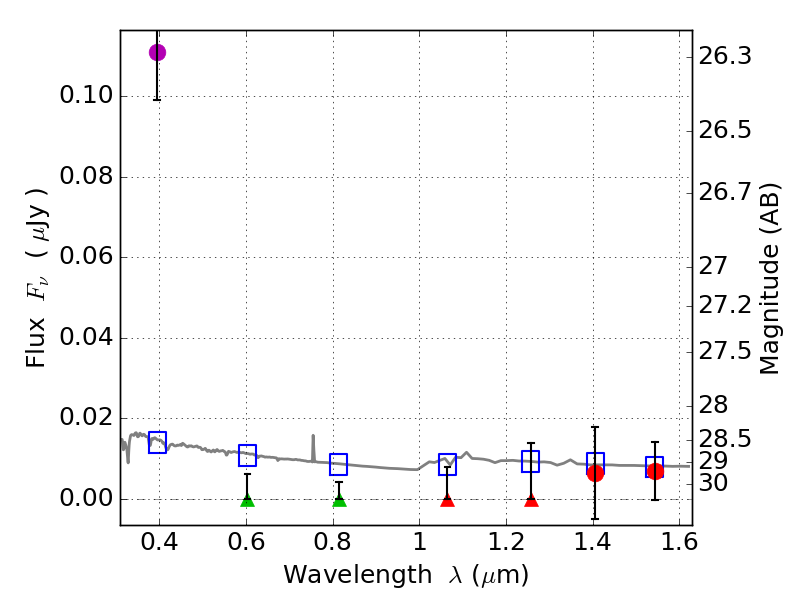
RXS0603+42-N IR detection object #5113

Color images and BPZ results
Catalog: 5113.cat
Black segments are analyzed here.   Roll mouse over color images to view segments.
Best viewed in a wide browser window (1200 pixels or more).   Download SED & P(z) plots to view larger versions.
In P(z) plots: Yellow lines mark the cluster redshift z = 0.228,  

Object #5113   x,y = (1801, 1832)   RA, Dec = (06:03:17.928, 42:15:07.56) = (90.82470, 42.25210)   BPZ = 1.698 [0.537--3.795]   type = 11.00 (SB11_A_0_l)   stellarity = 0.48   chisq2 = 18.11   ODDS = 0.19   z_cluster = 0.228