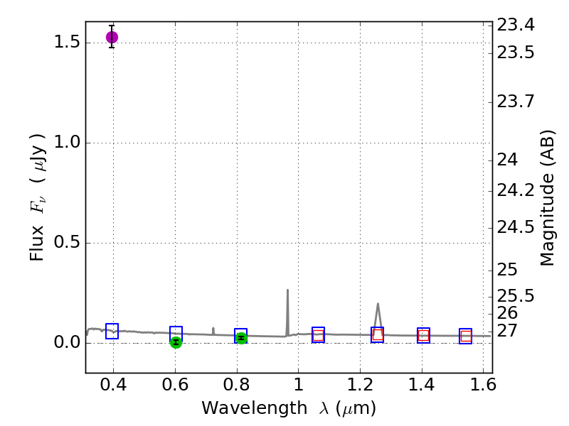
RXS0603+42-N IR detection object #5093

Color images and BPZ results
Catalog: 5093.cat
Black segments are analyzed here.   Roll mouse over color images to view segments.
Best viewed in a wide browser window (1200 pixels or more).   Download SED & P(z) plots to view larger versions.
In P(z) plots: Yellow lines mark the cluster redshift z = 0.228,  

Object #5093   x,y = (1312, 1804)   RA, Dec = (06:03:20.568, 42:15:06.12) = (90.83570, 42.25170)   BPZ = 1.592 [1.095--2.061]   type = 11.00 (SB11_A_0_l)   stellarity = 0.99   chisq2 = 754.80   ODDS = 0.34   z_cluster = 0.228