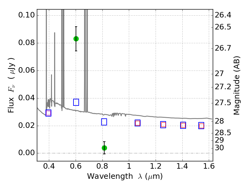
RXS0603+42-N IR detection object #5071

Color images and BPZ results
Catalog: 5071.cat
Black segments are analyzed here.   Roll mouse over color images to view segments.
Best viewed in a wide browser window (1200 pixels or more).   Download SED & P(z) plots to view larger versions.
In P(z) plots: Yellow lines mark the cluster redshift z = 0.228,  

Object #5071   x,y = (1219, 1843)   RA, Dec = (06:03:21.072, 42:15:08.28) = (90.83780, 42.25230)   BPZ = 0.025 [0.016--3.062]   type = 11.00 (SB11_A_0_l)   stellarity = 0.88   chisq2 = 39.80   ODDS = 0.15   z_cluster = 0.228