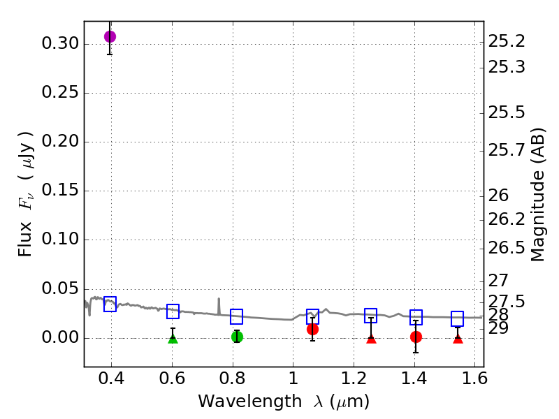
RXS0603+42-N IR detection object #5039

Color images and BPZ results
Catalog: 5039.cat
Black segments are analyzed here.   Roll mouse over color images to view segments.
Best viewed in a wide browser window (1200 pixels or more).   Download SED & P(z) plots to view larger versions.
In P(z) plots: Yellow lines mark the cluster redshift z = 0.228,  

Object #5039   x,y = (2468, 1961)   RA, Dec = (06:03:14.328, 42:15:15.48) = (90.80970, 42.25430)   BPZ = 1.701 [1.242--2.167]   type = 11.00 (SB11_A_0_l)   stellarity = 0.60   chisq2 = 58.76   ODDS = 0.53   z_cluster = 0.228